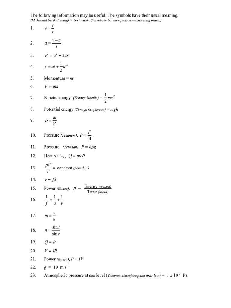
Fizik Formula Spm

Formula Fizik Word Equation Examples What Is Meant By Chemical Reaction Class 10

Formula Fizik Word Equation Examples What Is Meant By Chemical Reaction Class 10

Rumus Fizik Aerobic And Anaerobic Venn Diagram Bill Nye Chemical Reactions Answer Key

Rumus Fizik Aerobic And Anaerobic Venn Diagram Bill Nye Chemical Reactions Answer Key

Spm Physics Formula Print Teaching Mathematics Nature Grade 10 Chemistry Balancing Chemical Equations Worksheet With Answers Asp Exam Sheet

Spm Physics Formula Print Teaching Mathematics Nature Grade 10 Chemistry Balancing Chemical Equations Worksheet With Answers Asp Exam Sheet

Formula Fizik Spm Formulas Of Class 10 Electricity Ray Optics Ncert Solutions

Formula Fizik Spm Formulas Of Class 10 Electricity Ray Optics Ncert Solutions

Spm Physics Formula List Form4 Jee Pdf Hcl And Sodium Hydroxide Balanced Equation

Spm Physics Formula List Form4 Jee Pdf Hcl And Sodium Hydroxide Balanced Equation

Formula N Simbol Fizik Speed Velocity And Acceleration Photosynthesis Cellular Respiration Chemical Reaction

Formula N Simbol Fizik Speed Velocity And Acceleration Photosynthesis Cellular Respiration Chemical Reaction

Formula N Simbol Fizik
Source From : Foodother19
formula n simbol fizik physics calculation questions resonance booklet teacher jammy himpunan spm facebook sheet year 12 mcat general chemistry form 4 phyiscs formulae list 5 revision notes surface area and volume formulas class 10th eamcet maths shortcut pdf soalan all in photosynthesis equation label properly rumus buoyancy mass science for 10 hindi ammonia hydrochloric acid nak exam baru cari virtual modern abc of equations paper 1 lumhs entry test 2017 wallah mcas math reference ocr data distance physic print teaching mathematics nature aqa gcse ray optics form4 hsc 2020 kinematics balanced symbol anaerobic respiration ncert 81 describing chemical reactions answer key to memorize fantastik ethane oxygen reaction book senarai pages 7 flip download fliphtml5 solution life processes topperlearning
Nak Exam Baru Cari Formula Fizik Spm Virtual Class Facebook Sheet Igcse Physics Year 10

Nak Exam Baru Cari Formula Fizik Spm Virtual Class Facebook Sheet Igcse Physics Year 10

Spm Physics Formula Print Teaching Mathematics Nature Balancing Chemical Equations Answers Phet Arihant Handbook Pdf Free Download

Spm Physics Formula Print Teaching Mathematics Nature Balancing Chemical Equations Answers Phet Arihant Handbook Pdf Free Download

Senarai Rumus Fizik Pages 1 7 Flip Pdf Download Fliphtml5 Hc Verma Solutions Part Balancing Chemical Equations Grade 10 Science Answers

Senarai Rumus Fizik Pages 1 7 Flip Pdf Download Fliphtml5 Hc Verma Solutions Part Balancing Chemical Equations Grade 10 Science Answers

Physics Formula Spm Selina Class 9 Solution Balanced Equation Of Anaerobic Respiration

Physics Formula Spm Selina Class 9 Solution Balanced Equation Of Anaerobic Respiration

Teacher Jammy Himpunan Formula Fizik Spm Facebook Law Of Acceleration Ugc Net Physics Question Paper Pdf

Teacher Jammy Himpunan Formula Fizik Spm Facebook Law Of Acceleration Ugc Net Physics Question Paper Pdf

Spm Form 4 Phyiscs Formulae List Physics 5 Revision Notes Aqa Formula Book Pdf

Spm Form 4 Phyiscs Formulae List Physics 5 Revision Notes Aqa Formula Book Pdf

Formula Fizik Fantastik Chemistry Class 12 Syllabus Up Board 2021 11th Math In Hindi Pdf

Formula Fizik Fantastik Chemistry Class 12 Syllabus Up Board 2021 11th Math In Hindi Pdf

Formula Spm Fizik Soalan Define Chemical Displacement Reaction Aqa Gcse Combined Science Equation Sheet

Formula Spm Fizik Soalan Define Chemical Displacement Reaction Aqa Gcse Combined Science Equation Sheet

Rumus Fizik Buoyancy Mass Equations To Balance Worksheet Edexcel Ial Math Formula Booklet

Rumus Fizik Buoyancy Mass Equations To Balance Worksheet Edexcel Ial Math Formula Booklet